(中国银行福州市支行拒不执行银监会08年6月6日发出的[2008]第100号特急文件,到08年的9月和10月份还在故意让客户往火坑里跳)
(2010-5-5)权利运动发布:
【一个成熟的市场经济体制应该体现出信用经济的特质,而法治更是信用经济的基石。银行业尤应恪守诚实守信的原则。中国银行福州市市中支行为了追求业绩,不惜故意隐瞒中国银监会的特急通知,导致客户利益无端受损,诉诸法院,结果,权贵们操纵的社会主义市场经济诚信“豆腐渣”暴露无遗】
福建福清市镜洋镇居民林瑞龙,于2007年11月30日与中国银行股份有限公司福州市市中支行签订《个人保证金外汇买卖交易协议》、《中银理财客户服务协议》和《网上服务协议书》等三份协议,依据协议,由福州市市中支行提供专业的服务,林瑞龙开始在网络上以保证金的形式进行外汇买卖交易。
由于外汇保证金买卖交易业务是银行业金融机构向投资人提供的具有杠杆交易性质的外汇交易业务,投资人虽然可以通过杠杆原理获得保证金的成倍收益,但风险同样非常之大,这无疑需要银行业金融机构通过及时、优质、专业的服务,尤其这种买卖交易在网络上进行时。
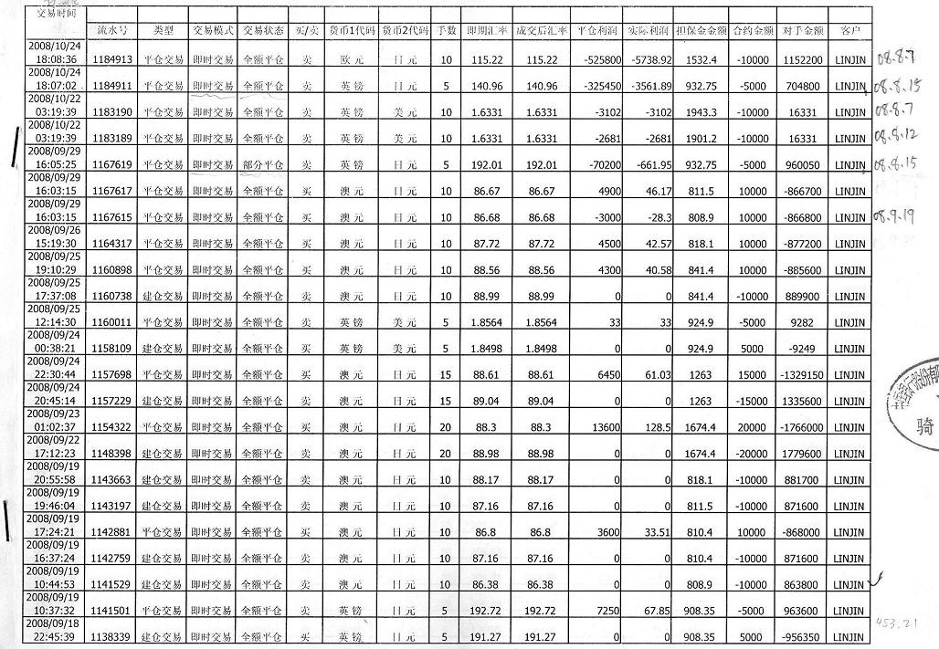
林瑞龙的外汇保证金买卖交易在平稳中进入2008年的下半年,此时外汇市场出现险恶,尤其到了8月、9月份,林瑞龙多手建仓交易出现亏损,直到9月29日福州市市中支行称接省银行通知暂停外汇保证金买卖交易,并关闭网上建仓交易,但林瑞龙已经损失了11880美元(折合人民币8万余元)的损失。
经过朋友告知,林瑞龙于2008年11月8日(星期六)在网络上查找到了中国银监会办公厅银监办法[2008]第100号文件,林瑞龙11月10立即找福州市市中银行交涉,客户主任张晓燕称网络上的文件没有公章,不算数,后来到交涉现场处理的市中行长对客户负责人林毅也与客户主任持相同观点。其后来又多次找银行交涉未果。被迫于2009年8月份向法院提起民事违约诉讼。
2009年11月24日,福州市台江区法院公开开庭审理。在法庭上,原告林瑞龙拿出中国银监会办公厅于2008年6月6日出台的银监办法[2008]第100号文件,该文件向各银监局、各政策性银行、国有商业银行、股份制商业银行以及邮储银行以特急形式下达通知,立即停止开办外汇保证金买卖交易业务,原来开办的业务只允许结清和平仓。各开办此业务的银行应当在接到通知的5日内,将已从事此项业务的客户数量、保证金总额、交易头寸总额、客户总体赢亏状况以及采取相应管理措施等,以书面形式一式两份报送银监会。此后每月初5日前将上月情况逐月报送,直到所有从事此业务的客户全部结清仓位为止。
从林瑞龙出具的中国银监会文件(通知)这一份证据,中国银行福州市市中支行显然没有尽到责任,造成客户林瑞龙投资损失,理应承担相应的的法律责任。
然而,被告福州市市中支行在法庭上辩称,其已经用电话、理财中心的一个小房间张贴公示、省中行网页通知等方式,告知了原告林瑞龙停止建仓交易,但是无法向法庭提供真实客观的证据。对既然告知了原告为什么不按照银监会通知要求关闭建仓交易的质疑,被告福州市市中支行竟然称奥运会的原因,导致网银软件不能升级更新。当然,被告还是拿不出奥运会是天灾的证据。
法庭审理至此,被告福州市市中支行的违约责任显然是事实清楚、证据确实充分的,然而匪夷所思的事情发生了,福州市台江区法院竟然认同了被告的奥运会是不可抗力的天灾说法。最后,法庭依据《民事诉讼法》第六十四条第一款(原告应当承担举证责任),于2010年1月18日作出(2009)台民初字第1699号驳回原告林瑞龙诉讼请求的荒谬判决。
原告林瑞龙与被告福州市市中支行之间的协议,是一份服务合同,双方产生纠纷对簿公堂时适用举证责任倒置的规则。中国银监会[2008]第100号文件注明是一个特急通知,对被告具有法律上的约束力,被告拒不执行造成客户经济损失毫无疑问必须承担法律责任。这,都是一些法律的基本常识,是什么因素促使福州市台江区法院如此裁判?
目前得到消息,林瑞龙不服一审判决上诉福州市中级法院后,二审在2010年4月9日在中级法院已经公开开庭审理,但法庭会至今没有作出一个公正的判决。法庭将作出怎样的平均我们将给予高度关注。
另据悉,还有林爱珠、林秀钦等投资人在这一次银行违约事件中蒙受经济损失。这,究竟是天灾还是人祸?希望这样的天灾人祸不要在司法中延续。
相关联系:
林瑞龙电话:13685028178。
林爱珠电话:0591-83213517.
林秀钦电话:18705023069.
市中银行电话:0591-83379334.
(张建平撰稿)
