涉嫌剌死截访警察而被控故意杀人罪一审遭判处死刑的河南焦作访民许有臣案 二审开庭因案情重大需要报审委会 没有当庭宣判


权利运动编辑员获悉,2017年5月18日,涉嫌剌死截访警察而被控故意杀人罪一审遭判处死刑的河南焦作访民许有臣案在三门峡市中级人民法院开庭审理,庭审持续约4小时结束,因案情重大需要报审委会而没有当庭宣判。

下附蔺其磊律师【河南访民许有臣故意杀人(刺警)案二审庭审情况小记】:
河南省高院在三门峡市中级法院,于2017年5月18日开庭审理了一审被判处死刑立即执行的河南焦作访民许有臣故意杀人案,庭审持续约4小时结束,因案情重大需要报审委会而没有当庭宣判。
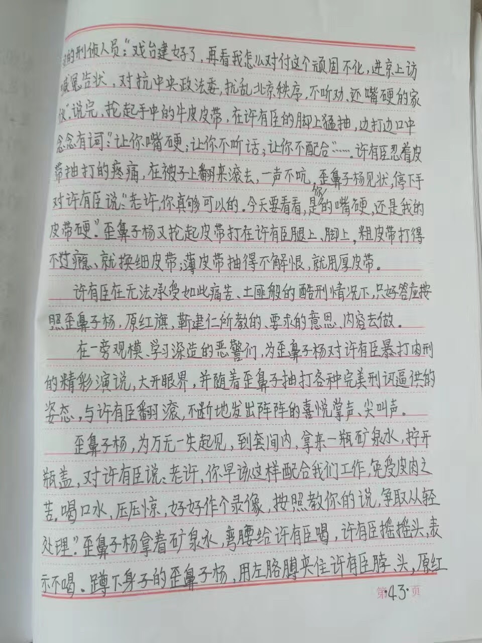
       被告人许有臣陈述其是被地方政府不讲信用骗回焦作,其没有杀人的心态和目的,遭受了酷刑殴打和灌药致幻而在警察写好的笔录上签字的,对其判刑是打击报复,受害者对激化矛盾负有责任且有明显的执法过错等自辩意见。
作为辩护人的我重点是在排除非法证据程序中,要求排除警方通过酷刑获得的“证据”,即许有臣在前几次笔录中所谓供述的“我就是想找到一个利器,买刀子是报复警察”等的口供笔录,并提供了多个线索和证据,包括被告人自己书写的在焦作市看守所就写好又在三门峡市看守所写的交给驻所检察室的长达55页受到酷刑的材料,一二审法院拒不让辩护人复制完整的事发现场公安机关院内的监控录像和执法记录仪内的视频记录而是要掩盖对被告人有利的客观事实,还有警方提供的审讯录像也恰恰证明了酷刑的事实等等。
        另外,辩护人还在警方和警察执法过程中存在违法行为和一审庭审草率的审理程序造成认定案件事实不清做了辩护阐述。

河南焦作访民许有臣、张小玉夫妇于2014年7月17日被地方政府从北京骗回地方,被焦作市公安局中站分局的社区警务大队违法限制自由。许有臣在警察强拉他们下车的过程中用刀刺中民警王军干,导致对方重伤死亡,二人后被以“涉嫌故意杀人罪”起诉。去年12月16日,河南省三门峡市中院一审判处许有臣死刑立即执行,许有臣当庭提起上诉。而一度被当作同案疑犯的妻子张小玉,因证据不足,检察院决定不予起诉。但其后张小玉却被焦作市的法院以寻衅滋事罪判处有期徒刑4年半。
       此前,案件的一审律师曾在会见后于网上披露,许有臣夫妇被捕之后遭到严重殴打,受到重伤,张小玉间歇性失明,许有臣身上也是伤痕累累。
       此案是又一个信访制度下的悲剧事件,再次展示了公权力漠视公民合法权利予以肆意打压迫害的面目。

据了解,河南焦作访民张小玉、许有臣夫妇于2014年7月在被从北京截访回乡路上,被焦作市中站区派出所人员限制自由,其后传出张小玉夫妇涉嫌刺死一名公安的消息,二人被以“涉嫌故意杀人罪”起诉。许有臣一审被判处死刑。而一度被当作同案疑犯的妻子张小玉,后因证据不足被检察院不予起诉。但其后因张小玉继续上访喊冤,又被以寻衅滋事罪审理,但至今仍未有判决。

据网上公开信息显示,张小玉因为丈夫许有臣的劳工权益和父亲17年前与东王封村委会煤矿承包合同纠纷遭遇徇私枉法而上访。但依法讨公道的张小玉却在2009年被劳教。出狱后,继续依法向有关部门反映自己家遭遇的不公。同时,张小玉还长期参与对京城贫病交加的访民的救助。



2017年5月11日,涉嫌刺死截访警察而被控“故意杀人罪”一审遭判处死刑的河南焦作访民许有臣其辩护律师蔺其磊透露,许有臣案将于5月12日在河南省高院召开二审庭前会议。


2017年5月13日,涉嫌刺死截访警察而被控“故意杀人罪”一审遭判处死刑的河南焦作访民许有臣其辩护律师蔺其磊透露,许有臣案二审将于5月18日上午9时30分在三门峡市中级法院开庭审理。


2017年5月18日,涉嫌剌死截访警察而被控故意杀人罪一审遭判处死刑的河南焦作访民许有臣案在三门峡市中级人民法院开庭审理,庭审持续约4小时结束,因案情重大需要报审委会而没有当庭宣判。

分享这篇文章到: